Deeppp
Home
분류 전체보기
(85)
Study
(71)
Deep Learning
(25)
Data Science
(17)
데이터분석
(0)
Code
(20)
Design Patterns c++
(9)
Information
(13)
IT
(13)
Daily
(0)
끄적끄적
(0)
/
/
CrossEntropy, softamx, logit Backpropagation
2019. 7. 30. 16:38
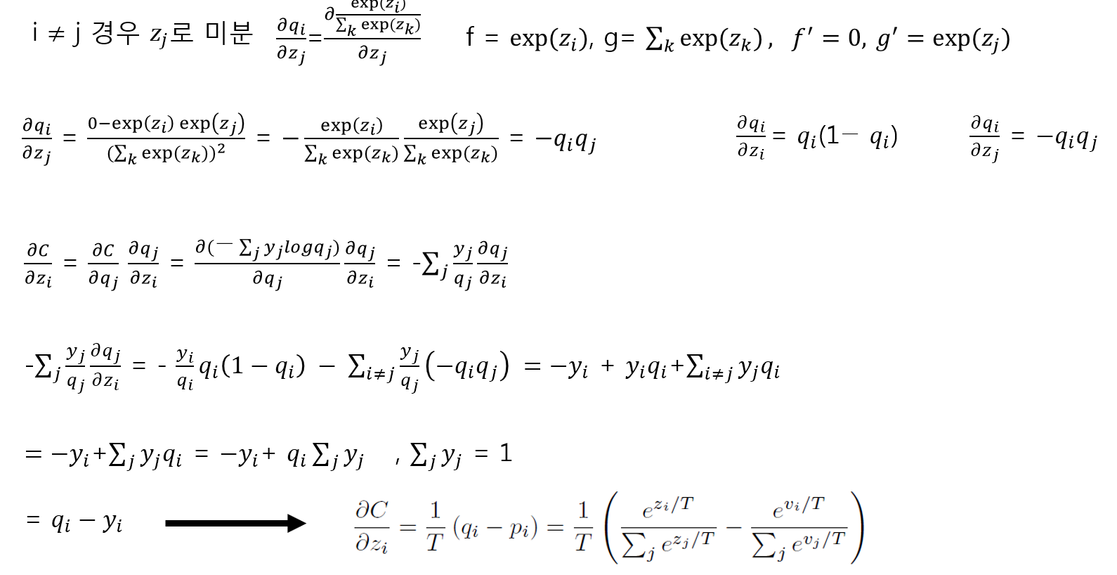
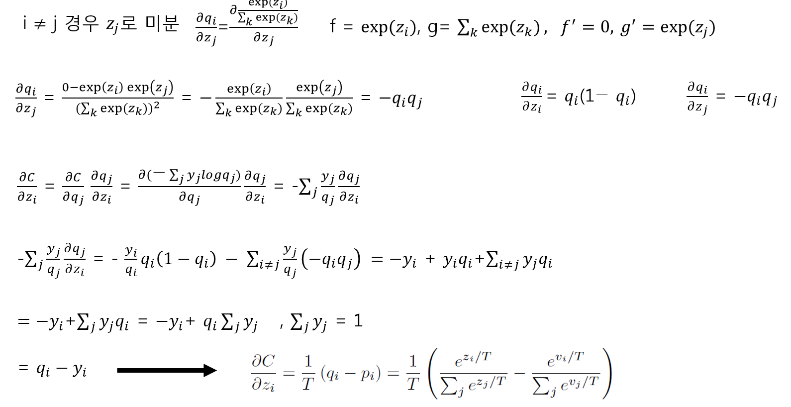
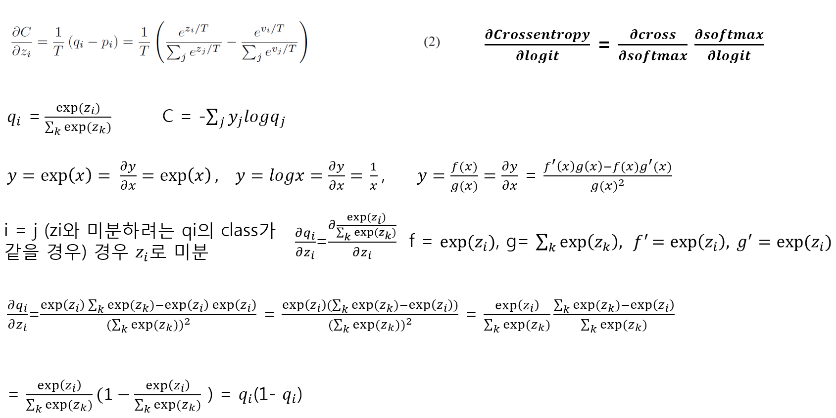
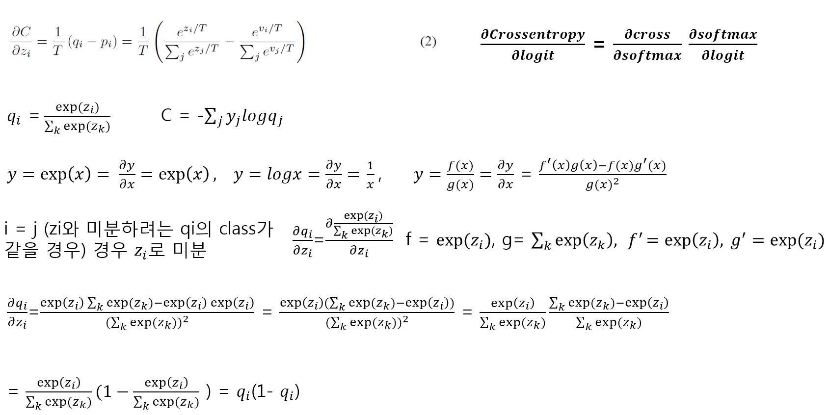
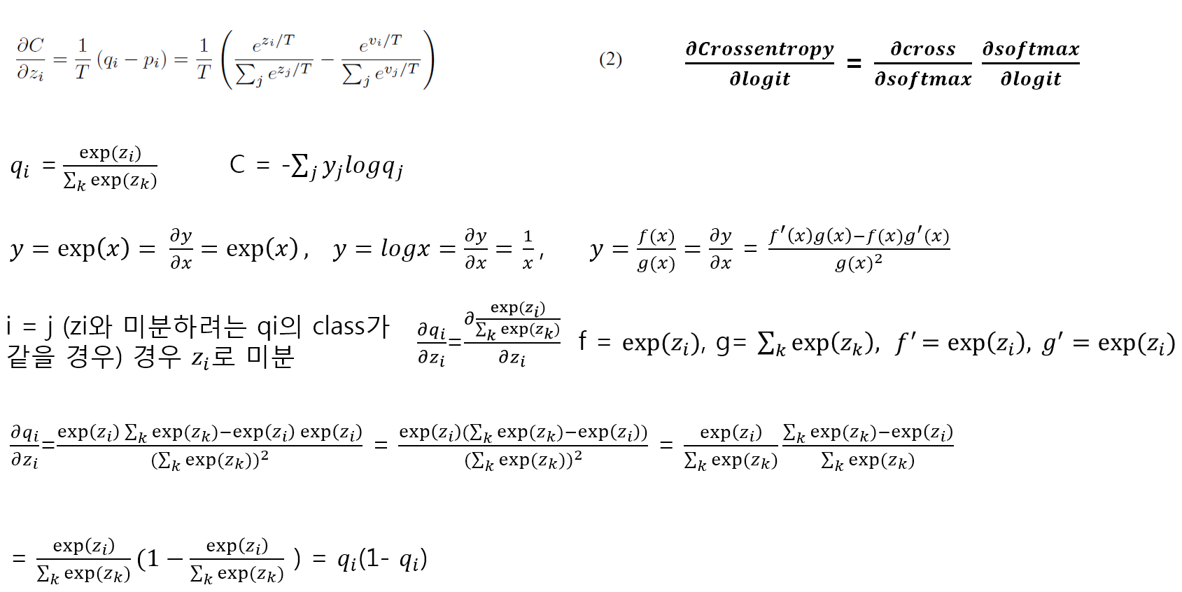
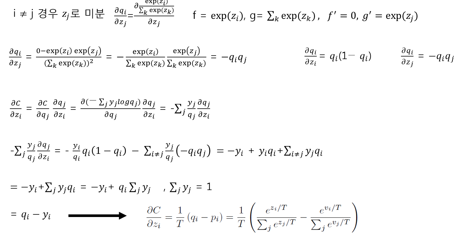
Distilling the Knowledge in a Neural Network 논문 리뷰 중... 급 작성..
공유하기
게시글 관리
Deeppp
'
Study
>
Deep Learning
' 카테고리의 다른 글
Uncertainty & Confidence in DeepLearning : Paper list
(0)
2019.12.12
Pytorch DistributedDataParallel Imagenet trainning
(0)
2019.10.17
Deep learning logits, softmax, cross entropy loss
(0)
2019.05.09
pytorch RuntimeError: cuda runtime error (59) : device-side assert triggered at /pytorch/aten/src/THC/generic/THCTensorMath.cu:24 에러 pytorch imbalance data set.
(0)
2019.04.30
pytorch RuntimeError: Given groups=1, weight of size [16, 3, 3, 3], expected input[128, 32, 32, 3] to have 3 channels, but got 32 channels instead 오류. torch.permute()
(0)
2019.04.29
+ Recent posts
Powered by
Tistory
, Designed by
wallel
Rss Feed
and
Twitter
,
Facebook
,
Youtube
,
Google+
티스토리툴바